Les niveaux de vitamine D ont chuté pendant la pandémie chez les femmes âgées et les citadins

Les données de routine des laboratoires révèlent une baisse des taux de vitamine D pendant la pandémie de COVID-19, en particulier chez les femmes âgées et les citadins. La pandémie de COVID-19 a eu des effets sur la santé humaine bien au-delà des infections elles-mêmes. Une équipe de recherche dirigée par le professeur Eva Grill, épidémiologiste au LMU, a démontré pour la première fois au niveau de la population que les niveaux de vitamine D étaient nettement inférieurs pendant la pandémie qu’auparavant.

Pour leur étude, publiée dans Communications naturellesles chercheurs ont analysé les données de routine anonymisées de 292 187 patients de toute la Bavière, tant hospitalisés qu’ambulatoires. Les données proviennent de systèmes d’information de laboratoire qui font partie d’une plateforme de recherche conforme à la protection des données.

Baisse significative des valeurs de vitamine D pendant la pandémie

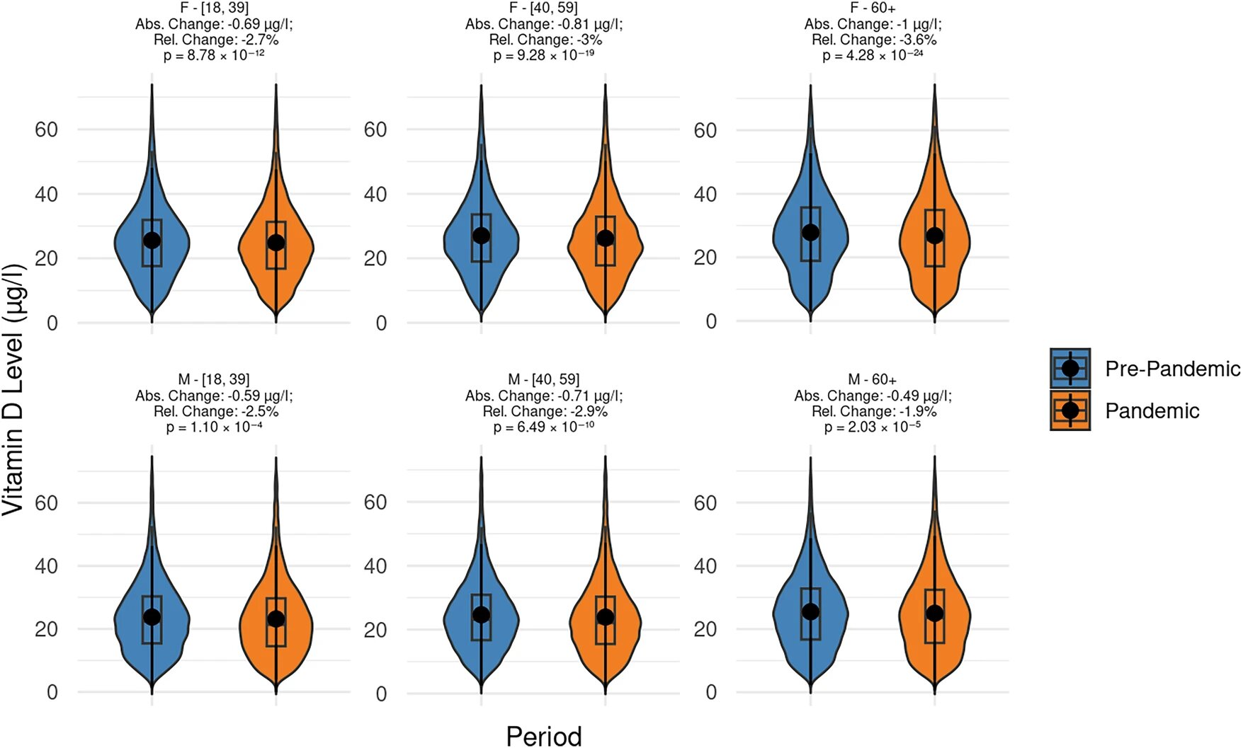
Les scientifiques ont comparé les valeurs de laboratoire des deux années immédiatement précédant la pandémie (de mars 2018 à février 2020) et de deux années pendant la pandémie (de mars 2020 à février 2022). Leurs résultats montrent que le taux sérique moyen de 25-hydroxyvitamine D est passé de 26,7 µg/l à 26,0 µg/l sur cette période. Dans le même temps, la proportion de personnes présentant une carence en vitamine D (inférieure à 20 µg/l) a augmenté de 31,2 à 35,2 %.

Ces différences étaient statistiquement significatives (p 0,001) et persistaient même après ajustement en fonction de l’âge, du sexe et de la saison.

« Une explication possible est que les confinements, le travail à domicile et les modifications des habitudes de loisirs ont réduit l’exposition de nombreuses personnes au soleil », explique Grill.

Pour valider les résultats, les scientifiques ont utilisé trois méthodes statistiques différentes : analyses descriptives classiques, correspondance des scores de propension et apprentissage automatique. Toutes les méthodes ont confirmé indépendamment la réduction des niveaux moyens de vitamine D et l’augmentation des taux de carence.

Les femmes âgées, les jeunes adultes et les citadins particulièrement touchés

De plus, l’évaluation a révélé des différences significatives entre les groupes de population. Les femmes de plus de 60 ans ont été particulièrement touchées par une diminution des taux de vitamine D pendant la pandémie. Parallèlement, les jeunes adultes âgés de 18 à 39 ans ont également présenté une forte augmentation de la carence en vitamine D : leur taux de carence est passé de 34,6 à 37,8 %. La vitamine D est d’une importance vitale non seulement pour la santé des os, mais elle a également un effet immunomodulateur. Le manque de vitamine peut augmenter le risque d’infections, de maladies auto-immunes et de fractures osseuses.

En outre, il existe une fracture entre zones urbaines et zones rurales : dans les régions urbaines, les taux de carence étaient systématiquement plus élevés que dans les zones rurales. « Les conditions de vie urbaines – moins de soleil en raison de la densité des bâtiments, des espaces verts limités, une pollution atmosphérique plus élevée – nuisent davantage à la synthèse de la vitamine D », note Grill.

Les chercheurs ont également interprété leurs données dans le contexte de différences comportementales spécifiques au sexe. Si les femmes prennent en moyenne plus souvent des suppléments de vitamine D que les hommes, elles ont également connu une baisse plus importante de leurs taux de vitamine D pendant la pandémie. Selon Grill, cela pourrait être « un indicateur que des facteurs sociaux et psychologiques tels que des charges supplémentaires, le stress et un accès limité aux offres de soins de santé ont joué un rôle pour les femmes ».

Les données de routine comme instrument précieux pour la recherche en santé publique

En plus de fournir des informations surprenantes, « notre étude montre que les données relatives aux soins médicaux de routine peuvent constituer un système d’alerte précoce pour la santé publique », souligne Grill. « Ils nous permettent de reconnaître rapidement des tendances telles que la baisse de certains niveaux de nutriments ou une augmentation des facteurs de risque, sans avoir à attendre de longues enquêtes. »

Grill voit également une voie à suivre en matière de reporting sur la santé dans la conception de l’étude. Grâce à l’intégration des données de laboratoire, de facturation et de soins de santé, il est possible de suivre l’évolution de facteurs tels que les micronutriments, les paramètres métaboliques et les taux de vaccination avec un court décalage dans le temps – une étape importante vers une politique de prévention fondée sur les données.