Des chercheurs de la Liverpool School of Tropical Medicine (LSTM) ont effectué un essai clinique de phase I pour un nouveau traitement oral pour les morsures de serpent.
L’étude, menée par des chercheurs du Center for Snakebite Research & Interventions (CSRI) au LSTM et au Kenya Medical Research Institute (KEMRI) Wellcome Trust Research Program in Kilifi et publié dans la revue ebiomedicinemontre que le médicament, Unithiol, est sûr, bien toléré et facile à administrer dans des cliniques rurales éloignées, ouvrant la voie à son développement en tant que traitement prêt pour le terrain.
Unithiol est déjà approuvé pour le traitement de l’intoxication aux métaux lourds, mais a été identifié pour l’étude dans le traitement des envenitures en morsures de serpent en raison de sa capacité à neutraliser les métalloprotéinases du venin de serpent (SVMP). Ces composantes de toxine à base de zinc, trouvées dans les venins de vipères et de nombreux autres serpents, sont responsables de causer de graves lésions tissulaires et des saignements mortels chez les patients à morsures de serpent.
L’enveillage des morsures de serpent reste un grand défi de santé mondial, provoquant plus de 140 000 décès par an, principalement en Afrique subsaharienne rurale, en Amérique latine et en Asie. Les traitements actuels de l’Antivenom sont coûteux, peuvent provoquer des effets secondaires graves et doivent être administrés par voie intraveineuse en milieu hospitalier, barrières qui retardent l’intervention vitale.
Le Dr Michael Abouyannis, l’auteur principal de l’étude et chercheur clinique au LSTM, a déclaré: « Les antivenoms dérivés des animaux utilisés aujourd’hui sont basés sur des principes vieux de 100 ans. C’est un signe de la façon dont la module de serpent est négligée en tant que préoccupation de santé que ces traitements anciens sont encore utilisés aujourd’hui.

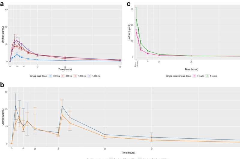
« Cet essai de phase 1, qui n’aurait pas été possible sans le soutien du professeur Hamaluba et de l’équipe de Kemri-Wellcome à Kilifi, a montré que Unithiol est sûr même aux doses élevées qui, selon nous, seront nécessaires pour traiter la bouteille de serpent, donc nous pourrions être sur les délais de patient. »
Les recherches précliniques des scientifiques du LSTM ont précédemment démontré que Unithiol pouvait empêcher les pires effets du venin et potentiellement sauver des vies. L’essai clinique de phase 1 a évalué différentes doses d’unihiol sous des formes orales et intraveineuses. Tous n’ont montré aucun effet secondaire grave, même à la dose maximale, et l’analyse du sang des participants a révélé que le médicament était rapidement absorbé et présent aux niveaux qui devraient inhiber les toxines de venin de serpent.
Sur la base de ces résultats, l’équipe LSTM progressera à Unithiol vers les essais cliniques de phase 2, où le médicament sera testé chez des patients qui ont été mordus et envenités par des serpents. En cas de succès, Unithiol pourrait être rapidement déployé dans les cliniques rurales et les premiers soins, achetant des victimes de morsures de serpent de temps pour se rendre à l’hôpital et réduire la gravité des envenitures.
Le professeur Nicholas Casewell, directeur du CSRI au LSTM, a déclaré: « Les morsures de serpent se produisent souvent dans des emplacements ruraux éloignés où l’hôpital le plus proche peut être à plusieurs heures. Alors que nous nous entrons dans la phase 2 des essais cliniques pour Unithiol, nous nous rapprochons d’un monde où la bouteille de serpent peut être traitée dans une clinique à quelques minutes d’un patient.
« Bien que Unithiol ne soit pas un remède en soi, nous espérons que cela empêchera les pires effets de l’enveniture des morsures de serpent et achètera des victimes de temps pour se rendre à l’hôpital, réduisant ainsi leur risque de décès ou d’invalidité. »
Le développement de traitements sûrs, abordables et faciles à administrer comme des médicaments buccaux pourrait être essentiel pour atteindre l’objectif de l’Organisation mondiale (OMS) de faire de moitié les décès et les handicaps liés à la morsure de serpent d’ici 2030. Évaluer leur sécurité et leur efficacité dans des essais comme celui-ci représente une étape centrale vers cet objectif.