Évaluation du risque d’insuffisance cardiaque chez les patients souffrant de lésions rénales aiguës

Lorsque Sherry Mansour, MD, professeure adjointe de médecine (néphrologie), a commencé sa formation à Yale, elle a été frappée par les taux élevés d’insuffisance cardiaque chez ses patients atteints d’une maladie rénale.

Pour de nombreux patients – en particulier ceux qui souffrent d’une maladie rénale avancée qui approche de la dialyse ou déjà sur la dialyse – les néphologues servent souvent à la fois de spécialiste rénal et de prestataires de soins primaires de facto. Cependant, les néphrologues ne sont pas principalement formés ou axés sur la gestion des problèmes non rénaux.

Cette lacune dans les soins a déclenché la recherche de Mansour. Elle a décidé de mieux comprendre le lien biologique entre les lésions rénales et l’insuffisance cardiaque, visant à identifier les patients les plus à risque et à s’assurer qu’ils reçoivent des mesures préventives en temps opportun, le suivi des soins primaires et les références spécialisées.

« Dans la clinique de néphrologie, nous nous concentrons naturellement sur le rein, mais il est nécessaire d’intégrer la prévention des maladies cardiovasculaires », explique Mansour.

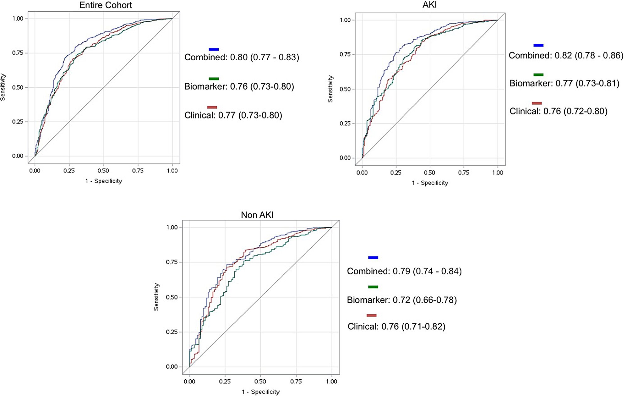
Sa récente étude, publiée dans Néphrologie BMCanalysé des échantillons de sang de près de 1 500 patients hospitalisés, dont la moitié avaient subi une lésion rénale aiguë (AKI).

Mansour et son équipe ont testé neuf protéines connues sous le nom de biomarqueurs vasculaires, qui reflètent la façon dont les vaisseaux sanguins réparent ou ne parviennent pas à se réparer après la maladie. En utilisant une analyse de clustering avancée, ils ont identifié trois profils de patients: un groupe de blessures vasculaires avec une mauvaise réparation, un groupe de réparation avec une forte récupération et un groupe dormant avec de faibles signaux de blessure et de réparation.

Les chercheurs ont constaté que les patients souffrant de lésions rénales aiguës pendant leur séjour à l’hôpital, se sont regroupées dans le groupe de blessures vasculaires, ont fait face aux risques les plus élevés d’insuffisance cardiaque, de progression des maladies rénales et même de décès dans les années qui ont suivi l’hospitalisation.

« Ceux du groupe de blessures étaient beaucoup plus susceptibles d’avoir de mauvais résultats par rapport au groupe de réparation », explique Mansour. « Ce qui m’a fasciné, c’est que l’ordinateur n’avait aucune connaissance de ces patients ou de leurs résultats, mais a pu tout capturer par la biologie seule. »

Pour Mansour, les implications cliniques sont claires: si les cliniciens peuvent signaler les patients à plus haut risque d’insuffisance cardiaque après AKI, ils peuvent consacrer plus de temps aux conseils sur des stratégies préventives comme le régime alimentaire, la sevrage tabagique et la surveillance cardiovasculaire.

Mansour souligne que, même si les résultats des biomarqueurs sont prometteurs, ils ne sont pas encore prêts pour une utilisation clinique de routine et doivent être validés dans d’autres groupes de patients. Dans l’intervalle, elle applique ce travail aux patients atteints de transplantation rénale, qui restent à un risque fortement élevé de maladies cardiaques même après avoir reçu un nouveau rein.

Pour elle, l’objectif ultime est la prévention des maladies cardiaques chez les patients atteints d’une maladie rénale.

« La plupart des patients atteints d’une maladie rénale ne meurent pas d’une insuffisance rénale elle-même, mais d’une insuffisance cardiaque, d’une crise cardiaque ou d’une mort cardiaque soudaine », explique-t-elle. Cette réalité appelle un changement de mise au point. « Nous ne pouvons pas attendre que la maladie se produise et réagit ensuite – nous devons être proactifs et intervenir tôt, protégeant à la fois le rein et le cœur avant que des problèmes ne surviennent. »